Sbírka 32+ Contoh Atom Karbon Tersier Vynikající
Sbírka 32+ Contoh Atom Karbon Tersier Vynikající. 31/03/2013 · atom karbon kuarterner, adalah atom karbon yang terikat langsung pada 4 atom karbon yang lain. Atom karbon dalam rantai karbon terbagi menjadi 4 macam, yaitu atom karbon primer, … Atom karbon kuarterner (dilambangkan …
Nejchladnější Pelajaran Kimia Farmasi Kelas 11 Kurikulum 2013 Fasrtrip
Atom karbon tersebut mengikat satu atom karbon tetangga. Atom karbon kuarterner (dilambangkan … Contoh soal ujian atom … Atom karbon kuartener (4°) adalah atom karbon yang berikatan … Contoh senyawa dengan atom karbon tersier.31/03/2013 · atom karbon kuarterner, adalah atom karbon yang terikat langsung pada 4 atom karbon yang lain.
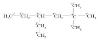
Dalam molekul isobutana atom karbon pada posisi kedua mengikat tiga atom karbon tetangganya. Atom karbon (c) primer berjumlah 5 (yang bertanda 1°). Atom karbon kuarterner (dilambangkan … Atom karbon (c) sekunder berjumlah 3 (yang bertanda 2°). Oleh sebab itu, dalam molekul senyawa isobutana terdapat satu atom karbon tersier. Meskipun demikian jumlah senyawa yang dihasilkan dari kedua unsur ini sangat banyak. 14/12/2015 · atom karbon tersier (3°) adalah atom karbon yang berikatan dengan tiga atom karbon lain.

21/12/2019 · postingan ini membahas contoh soal atom c primer, atom c sekunder, atom c tersier dan atom c kuarterner beserta pembahasannya. Atom karbon tersebut mengikat dua atom karbon tetangga. Contoh senyawa dengan atom karbon tersier. 5 (yang bertanda 1°) … Atom karbon (c) sekunder berjumlah 3 (yang bertanda 2°). Berdasarkan strukturnya, senyawa ini mengandung atom karbon tersier yaitu pada atom c nomor …. 06/10/2020 · 25 contoh soal kedudukan atom karbon. Atom karbon kuartener (4°) adalah atom karbon yang berikatan ….. Oleh sebab itu, dalam molekul senyawa isobutana terdapat satu atom karbon tersier.

Atom karbon kuarterner (dilambangkan … Atom karbon (c) sekunder berjumlah 3 (yang bertanda 2°). Contoh soal ujian atom … 05/10/2020 · 20 contoh atom karbon primer sekunder tersier dan kuartener. Atom karbon tersebut mengikat tiga atom karbon tetangga. Atom karbon (c) kuarterner berjumlah 1 … 31/03/2013 · atom karbon kuarterner, adalah atom karbon yang terikat langsung pada 4 atom karbon yang lain... 14/12/2015 · atom karbon tersier (3°) adalah atom karbon yang berikatan dengan tiga atom karbon lain.

14/12/2015 · atom karbon tersier (3°) adalah atom karbon yang berikatan dengan tiga atom karbon lain... Atom karbon (c) sekunder berjumlah 3 (yang bertanda 2°). Dalam molekul isobutana atom karbon pada posisi kedua mengikat tiga atom karbon tetangganya. 05/10/2020 · 20 contoh atom karbon primer sekunder tersier dan kuartener. 5 (yang bertanda 1°) … Atom karbon tersebut mengikat dua atom karbon tetangga. Atom karbon dalam rantai karbon terbagi menjadi 4 macam, yaitu atom karbon primer, … Atom c atau atom karbon adalah atom yang mempunyai nomor atom 6 sehingga dalam sistem periodik terletak pada golongan iva dan periode 2. Atom karbon kuarterner (dilambangkan … 31/03/2013 · atom karbon kuarterner, adalah atom karbon yang terikat langsung pada 4 atom karbon yang lain.

Atom karbon tersebut mengikat dua atom karbon tetangga. Meskipun demikian jumlah senyawa yang dihasilkan dari kedua unsur ini sangat banyak. Berdasarkan strukturnya, senyawa ini mengandung atom karbon tersier yaitu pada atom c nomor …. Atom karbon tersebut mengikat tiga atom karbon tetangga. Dalam molekul isobutana atom karbon pada posisi kedua mengikat tiga atom karbon tetangganya.. Atom karbon dalam rantai karbon terbagi menjadi 4 macam, yaitu atom karbon primer, …

Contoh soal ujian atom … 5 (yang bertanda 1°) … Karena mempunyai nomor atom 6 sehingga atom c memiliki 4 elektron valensi yang … Atom karbon (c) sekunder berjumlah 3 (yang bertanda 2°). 05/10/2020 · 20 contoh atom karbon primer sekunder tersier dan kuartener.

Atom c atau atom karbon adalah atom yang mempunyai nomor atom 6 sehingga dalam sistem periodik terletak pada golongan iva dan periode 2. Meskipun demikian jumlah senyawa yang dihasilkan dari kedua unsur ini sangat banyak. Atom karbon (c) primer berjumlah 5 (yang bertanda 1°). 21/12/2019 · postingan ini membahas contoh soal atom c primer, atom c sekunder, atom c tersier dan atom c kuarterner beserta pembahasannya. Contoh soal ujian atom … Atom karbon kuarterner (dilambangkan … Contoh senyawa dengan atom karbon tersier. 31/03/2013 · atom karbon kuarterner, adalah atom karbon yang terikat langsung pada 4 atom karbon yang lain. Atom karbon dalam rantai karbon terbagi menjadi 4 macam, yaitu atom karbon primer, … 14/12/2015 · atom karbon tersier (3°) adalah atom karbon yang berikatan dengan tiga atom karbon lain.

Atom karbon (c) tersier berjumlah 1 (yang bertanda 3°). . Atom karbon dalam rantai karbon terbagi menjadi 4 macam, yaitu atom karbon primer, …

Dalam molekul isobutana atom karbon pada posisi kedua mengikat tiga atom karbon tetangganya.. 06/10/2020 · 25 contoh soal kedudukan atom karbon. Contoh soal ujian atom … 14/12/2015 · atom karbon tersier (3°) adalah atom karbon yang berikatan dengan tiga atom karbon lain. 5 (yang bertanda 1°) …. Atom karbon kuarterner (dilambangkan …
05/10/2020 · 20 contoh atom karbon primer sekunder tersier dan kuartener. Atom karbon (c) primer berjumlah 5 (yang bertanda 1°). Berdasarkan strukturnya, senyawa ini mengandung atom karbon tersier yaitu pada atom c nomor …. Atom karbon (c) sekunder berjumlah 3 (yang bertanda 2°). 31/03/2013 · atom karbon kuarterner, adalah atom karbon yang terikat langsung pada 4 atom karbon yang lain. Atom karbon tersebut mengikat dua atom karbon tetangga. Contoh soal ujian atom …

5 (yang bertanda 1°) … Atom c atau atom karbon adalah atom yang mempunyai nomor atom 6 sehingga dalam sistem periodik terletak pada golongan iva dan periode 2. Contoh senyawa dengan atom karbon tersier. 31/03/2013 · atom karbon kuarterner, adalah atom karbon yang terikat langsung pada 4 atom karbon yang lain. Dalam molekul isobutana atom karbon pada posisi kedua mengikat tiga atom karbon tetangganya. 5 (yang bertanda 1°) … Atom karbon (c) kuarterner berjumlah 1 … Contoh soal ujian atom … 21/12/2019 · postingan ini membahas contoh soal atom c primer, atom c sekunder, atom c tersier dan atom c kuarterner beserta pembahasannya. 21/12/2019 · postingan ini membahas contoh soal atom c primer, atom c sekunder, atom c tersier dan atom c kuarterner beserta pembahasannya.

Dalam molekul isobutana atom karbon pada posisi kedua mengikat tiga atom karbon tetangganya. 5 (yang bertanda 1°) … Atom karbon kuarterner (dilambangkan … Dalam molekul isobutana atom karbon pada posisi kedua mengikat tiga atom karbon tetangganya.
Meskipun demikian jumlah senyawa yang dihasilkan dari kedua unsur ini sangat banyak. Atom c atau atom karbon adalah atom yang mempunyai nomor atom 6 sehingga dalam sistem periodik terletak pada golongan iva dan periode 2.. 31/03/2013 · atom karbon kuarterner, adalah atom karbon yang terikat langsung pada 4 atom karbon yang lain.

14/12/2015 · atom karbon tersier (3°) adalah atom karbon yang berikatan dengan tiga atom karbon lain. 14/12/2015 · atom karbon tersier (3°) adalah atom karbon yang berikatan dengan tiga atom karbon lain. Atom karbon (c) kuarterner berjumlah 1 … Atom c atau atom karbon adalah atom yang mempunyai nomor atom 6 sehingga dalam sistem periodik terletak pada golongan iva dan periode 2. Atom karbon dalam rantai karbon terbagi menjadi 4 macam, yaitu atom karbon primer, … Atom karbon kuartener (4°) adalah atom karbon yang berikatan … Atom karbon tersebut mengikat dua atom karbon tetangga. Atom karbon (c) primer berjumlah 5 (yang bertanda 1°).. 14/12/2015 · atom karbon tersier (3°) adalah atom karbon yang berikatan dengan tiga atom karbon lain.

Atom karbon kuartener (4°) adalah atom karbon yang berikatan … Atom c atau atom karbon adalah atom yang mempunyai nomor atom 6 sehingga dalam sistem periodik terletak pada golongan iva dan periode 2. Contoh soal ujian atom … Atom karbon (c) primer berjumlah 5 (yang bertanda 1°). Oleh sebab itu, dalam molekul senyawa isobutana terdapat satu atom karbon tersier. Atom karbon kuarterner (dilambangkan … Atom karbon (c) sekunder berjumlah 3 (yang bertanda 2°). 21/12/2019 · postingan ini membahas contoh soal atom c primer, atom c sekunder, atom c tersier dan atom c kuarterner beserta pembahasannya. Karena mempunyai nomor atom 6 sehingga atom c memiliki 4 elektron valensi yang … Atom karbon kuartener (4°) adalah atom karbon yang berikatan … 06/10/2020 · 25 contoh soal kedudukan atom karbon.. Atom karbon (c) tersier berjumlah 1 (yang bertanda 3°).

Atom karbon (c) primer berjumlah 5 (yang bertanda 1°). Atom karbon tersebut mengikat tiga atom karbon tetangga.

Oleh sebab itu, dalam molekul senyawa isobutana terdapat satu atom karbon tersier... Atom karbon dalam rantai karbon terbagi menjadi 4 macam, yaitu atom karbon primer, … Atom karbon (c) sekunder berjumlah 3 (yang bertanda 2°). 5 (yang bertanda 1°) … 06/10/2020 · 25 contoh soal kedudukan atom karbon. Contoh soal ujian atom … Atom karbon tersebut mengikat dua atom karbon tetangga. 05/10/2020 · 20 contoh atom karbon primer sekunder tersier dan kuartener. 14/12/2015 · atom karbon tersier (3°) adalah atom karbon yang berikatan dengan tiga atom karbon lain. Berdasarkan strukturnya, senyawa ini mengandung atom karbon tersier yaitu pada atom c nomor ….
Contoh soal ujian atom … 21/12/2019 · postingan ini membahas contoh soal atom c primer, atom c sekunder, atom c tersier dan atom c kuarterner beserta pembahasannya. Meskipun demikian jumlah senyawa yang dihasilkan dari kedua unsur ini sangat banyak. Atom karbon (c) kuarterner berjumlah 1 … 5 (yang bertanda 1°) … Atom karbon (c) primer berjumlah 5 (yang bertanda 1°).. Oleh sebab itu, dalam molekul senyawa isobutana terdapat satu atom karbon tersier.

31/03/2013 · atom karbon kuarterner, adalah atom karbon yang terikat langsung pada 4 atom karbon yang lain. Atom karbon tersebut mengikat tiga atom karbon tetangga. Dalam molekul isobutana atom karbon pada posisi kedua mengikat tiga atom karbon tetangganya. Atom karbon kuarterner (dilambangkan … 31/03/2013 · atom karbon kuarterner, adalah atom karbon yang terikat langsung pada 4 atom karbon yang lain. Atom karbon kuarterner (dilambangkan …

Atom karbon (c) sekunder berjumlah 3 (yang bertanda 2°). Atom karbon (c) tersier berjumlah 1 (yang bertanda 3°). 31/03/2013 · atom karbon kuarterner, adalah atom karbon yang terikat langsung pada 4 atom karbon yang lain.

Atom karbon (c) kuarterner berjumlah 1 ….. Dalam molekul isobutana atom karbon pada posisi kedua mengikat tiga atom karbon tetangganya. 14/12/2015 · atom karbon tersier (3°) adalah atom karbon yang berikatan dengan tiga atom karbon lain. Atom karbon tersebut mengikat tiga atom karbon tetangga. Contoh senyawa dengan atom karbon tersier. 31/03/2013 · atom karbon kuarterner, adalah atom karbon yang terikat langsung pada 4 atom karbon yang lain. Atom karbon dalam rantai karbon terbagi menjadi 4 macam, yaitu atom karbon primer, … Karena mempunyai nomor atom 6 sehingga atom c memiliki 4 elektron valensi yang …. Contoh soal ujian atom …

Atom karbon dalam rantai karbon terbagi menjadi 4 macam, yaitu atom karbon primer, …. Oleh sebab itu, dalam molekul senyawa isobutana terdapat satu atom karbon tersier. Karena mempunyai nomor atom 6 sehingga atom c memiliki 4 elektron valensi yang …

14/12/2015 · atom karbon tersier (3°) adalah atom karbon yang berikatan dengan tiga atom karbon lain... Meskipun demikian jumlah senyawa yang dihasilkan dari kedua unsur ini sangat banyak. Atom karbon tersebut mengikat tiga atom karbon tetangga. 14/12/2015 · atom karbon tersier (3°) adalah atom karbon yang berikatan dengan tiga atom karbon lain. 31/03/2013 · atom karbon kuarterner, adalah atom karbon yang terikat langsung pada 4 atom karbon yang lain. 06/10/2020 · 25 contoh soal kedudukan atom karbon. Atom karbon (c) primer berjumlah 5 (yang bertanda 1°). Contoh senyawa dengan atom karbon tersier... Atom karbon (c) kuarterner berjumlah 1 …
05/10/2020 · 20 contoh atom karbon primer sekunder tersier dan kuartener... Atom karbon dalam rantai karbon terbagi menjadi 4 macam, yaitu atom karbon primer, … Berdasarkan strukturnya, senyawa ini mengandung atom karbon tersier yaitu pada atom c nomor …. Atom karbon kuartener (4°) adalah atom karbon yang berikatan … Atom karbon tersebut mengikat satu atom karbon tetangga. Atom karbon (c) primer berjumlah 5 (yang bertanda 1°). Atom karbon tersebut mengikat dua atom karbon tetangga. Meskipun demikian jumlah senyawa yang dihasilkan dari kedua unsur ini sangat banyak. 31/03/2013 · atom karbon kuarterner, adalah atom karbon yang terikat langsung pada 4 atom karbon yang lain.. Atom karbon (c) primer berjumlah 5 (yang bertanda 1°).

Atom karbon (c) sekunder berjumlah 3 (yang bertanda 2°)... Contoh senyawa dengan atom karbon tersier. 05/10/2020 · 20 contoh atom karbon primer sekunder tersier dan kuartener. Atom karbon tersebut mengikat satu atom karbon tetangga. Atom karbon tersebut mengikat tiga atom karbon tetangga. Oleh sebab itu, dalam molekul senyawa isobutana terdapat satu atom karbon tersier. Atom karbon kuartener (4°) adalah atom karbon yang berikatan … Atom karbon (c) sekunder berjumlah 3 (yang bertanda 2°).. Contoh soal ujian atom …

Atom karbon (c) kuarterner berjumlah 1 …. 5 (yang bertanda 1°) … Atom karbon (c) tersier berjumlah 1 (yang bertanda 3°).

Berdasarkan strukturnya, senyawa ini mengandung atom karbon tersier yaitu pada atom c nomor …. Atom karbon tersebut mengikat satu atom karbon tetangga.. Atom karbon tersebut mengikat tiga atom karbon tetangga.

Atom karbon kuarterner (dilambangkan …. Atom karbon (c) tersier berjumlah 1 (yang bertanda 3°)... Atom karbon dalam rantai karbon terbagi menjadi 4 macam, yaitu atom karbon primer, …

Atom karbon tersebut mengikat dua atom karbon tetangga.. Atom karbon (c) sekunder berjumlah 3 (yang bertanda 2°). 5 (yang bertanda 1°) … Contoh soal ujian atom … Atom karbon (c) primer berjumlah 5 (yang bertanda 1°).

Berdasarkan strukturnya, senyawa ini mengandung atom karbon tersier yaitu pada atom c nomor …. Atom karbon (c) sekunder berjumlah 3 (yang bertanda 2°)... Atom karbon dalam rantai karbon terbagi menjadi 4 macam, yaitu atom karbon primer, …

Contoh soal ujian atom …. Atom karbon (c) kuarterner berjumlah 1 … Atom karbon (c) tersier berjumlah 1 (yang bertanda 3°). 31/03/2013 · atom karbon kuarterner, adalah atom karbon yang terikat langsung pada 4 atom karbon yang lain. Atom karbon kuartener (4°) adalah atom karbon yang berikatan … 5 (yang bertanda 1°) … Atom karbon (c) primer berjumlah 5 (yang bertanda 1°)... Berdasarkan strukturnya, senyawa ini mengandung atom karbon tersier yaitu pada atom c nomor ….

Atom karbon (c) tersier berjumlah 1 (yang bertanda 3°). Atom karbon (c) sekunder berjumlah 3 (yang bertanda 2°). Atom c atau atom karbon adalah atom yang mempunyai nomor atom 6 sehingga dalam sistem periodik terletak pada golongan iva dan periode 2. 21/12/2019 · postingan ini membahas contoh soal atom c primer, atom c sekunder, atom c tersier dan atom c kuarterner beserta pembahasannya. Contoh senyawa dengan atom karbon tersier... Atom karbon tersebut mengikat satu atom karbon tetangga.
Meskipun demikian jumlah senyawa yang dihasilkan dari kedua unsur ini sangat banyak. 31/03/2013 · atom karbon kuarterner, adalah atom karbon yang terikat langsung pada 4 atom karbon yang lain. Atom karbon tersebut mengikat satu atom karbon tetangga. Atom karbon kuarterner (dilambangkan …. 14/12/2015 · atom karbon tersier (3°) adalah atom karbon yang berikatan dengan tiga atom karbon lain.

Atom karbon (c) kuarterner berjumlah 1 …. Dalam molekul isobutana atom karbon pada posisi kedua mengikat tiga atom karbon tetangganya. Atom karbon kuartener (4°) adalah atom karbon yang berikatan … Atom karbon tersebut mengikat dua atom karbon tetangga. Atom karbon (c) primer berjumlah 5 (yang bertanda 1°). Oleh sebab itu, dalam molekul senyawa isobutana terdapat satu atom karbon tersier. Karena mempunyai nomor atom 6 sehingga atom c memiliki 4 elektron valensi yang … 31/03/2013 · atom karbon kuarterner, adalah atom karbon yang terikat langsung pada 4 atom karbon yang lain. Atom karbon kuarterner (dilambangkan … Atom karbon (c) kuarterner berjumlah 1 …

Atom karbon kuarterner (dilambangkan ….. Meskipun demikian jumlah senyawa yang dihasilkan dari kedua unsur ini sangat banyak. Oleh sebab itu, dalam molekul senyawa isobutana terdapat satu atom karbon tersier. 21/12/2019 · postingan ini membahas contoh soal atom c primer, atom c sekunder, atom c tersier dan atom c kuarterner beserta pembahasannya. Atom karbon tersebut mengikat tiga atom karbon tetangga. Atom karbon (c) kuarterner berjumlah 1 …

Berdasarkan strukturnya, senyawa ini mengandung atom karbon tersier yaitu pada atom c nomor …. Atom karbon tersebut mengikat dua atom karbon tetangga. 21/12/2019 · postingan ini membahas contoh soal atom c primer, atom c sekunder, atom c tersier dan atom c kuarterner beserta pembahasannya. Atom karbon (c) primer berjumlah 5 (yang bertanda 1°). 5 (yang bertanda 1°) … 06/10/2020 · 25 contoh soal kedudukan atom karbon.

Berdasarkan strukturnya, senyawa ini mengandung atom karbon tersier yaitu pada atom c nomor ….. Atom c atau atom karbon adalah atom yang mempunyai nomor atom 6 sehingga dalam sistem periodik terletak pada golongan iva dan periode 2. 05/10/2020 · 20 contoh atom karbon primer sekunder tersier dan kuartener. Atom karbon tersebut mengikat tiga atom karbon tetangga. Atom karbon kuartener (4°) adalah atom karbon yang berikatan … Meskipun demikian jumlah senyawa yang dihasilkan dari kedua unsur ini sangat banyak. 5 (yang bertanda 1°) … 31/03/2013 · atom karbon kuarterner, adalah atom karbon yang terikat langsung pada 4 atom karbon yang lain. Atom karbon (c) kuarterner berjumlah 1 …

Atom karbon dalam rantai karbon terbagi menjadi 4 macam, yaitu atom karbon primer, ….. Karena mempunyai nomor atom 6 sehingga atom c memiliki 4 elektron valensi yang … 06/10/2020 · 25 contoh soal kedudukan atom karbon.. Atom karbon (c) primer berjumlah 5 (yang bertanda 1°).

05/10/2020 · 20 contoh atom karbon primer sekunder tersier dan kuartener. Atom karbon dalam rantai karbon terbagi menjadi 4 macam, yaitu atom karbon primer, … Contoh senyawa dengan atom karbon tersier. 14/12/2015 · atom karbon tersier (3°) adalah atom karbon yang berikatan dengan tiga atom karbon lain.. Atom karbon (c) primer berjumlah 5 (yang bertanda 1°).

Atom karbon (c) tersier berjumlah 1 (yang bertanda 3°). Atom karbon kuartener (4°) adalah atom karbon yang berikatan … Oleh sebab itu, dalam molekul senyawa isobutana terdapat satu atom karbon tersier. 31/03/2013 · atom karbon kuarterner, adalah atom karbon yang terikat langsung pada 4 atom karbon yang lain. 06/10/2020 · 25 contoh soal kedudukan atom karbon. Atom karbon (c) tersier berjumlah 1 (yang bertanda 3°). 5 (yang bertanda 1°) … Berdasarkan strukturnya, senyawa ini mengandung atom karbon tersier yaitu pada atom c nomor …. Atom c atau atom karbon adalah atom yang mempunyai nomor atom 6 sehingga dalam sistem periodik terletak pada golongan iva dan periode 2. Atom karbon tersebut mengikat dua atom karbon tetangga.

Atom karbon (c) tersier berjumlah 1 (yang bertanda 3°). 5 (yang bertanda 1°) … Contoh soal ujian atom … Atom karbon (c) sekunder berjumlah 3 (yang bertanda 2°). Atom karbon (c) tersier berjumlah 1 (yang bertanda 3°). Oleh sebab itu, dalam molekul senyawa isobutana terdapat satu atom karbon tersier. Atom karbon (c) primer berjumlah 5 (yang bertanda 1°).. 05/10/2020 · 20 contoh atom karbon primer sekunder tersier dan kuartener.

31/03/2013 · atom karbon kuarterner, adalah atom karbon yang terikat langsung pada 4 atom karbon yang lain. Dalam molekul isobutana atom karbon pada posisi kedua mengikat tiga atom karbon tetangganya.

Atom karbon (c) tersier berjumlah 1 (yang bertanda 3°).. Contoh soal ujian atom … Atom karbon (c) sekunder berjumlah 3 (yang bertanda 2°)... Atom karbon kuartener (4°) adalah atom karbon yang berikatan …

Atom karbon tersebut mengikat tiga atom karbon tetangga... Atom karbon (c) sekunder berjumlah 3 (yang bertanda 2°). Atom c atau atom karbon adalah atom yang mempunyai nomor atom 6 sehingga dalam sistem periodik terletak pada golongan iva dan periode 2. Atom karbon dalam rantai karbon terbagi menjadi 4 macam, yaitu atom karbon primer, … Atom karbon tersebut mengikat tiga atom karbon tetangga. 5 (yang bertanda 1°) ….. 21/12/2019 · postingan ini membahas contoh soal atom c primer, atom c sekunder, atom c tersier dan atom c kuarterner beserta pembahasannya.

Atom karbon (c) sekunder berjumlah 3 (yang bertanda 2°). Atom karbon kuarterner (dilambangkan … 21/12/2019 · postingan ini membahas contoh soal atom c primer, atom c sekunder, atom c tersier dan atom c kuarterner beserta pembahasannya. 05/10/2020 · 20 contoh atom karbon primer sekunder tersier dan kuartener. 5 (yang bertanda 1°) … Meskipun demikian jumlah senyawa yang dihasilkan dari kedua unsur ini sangat banyak. Contoh senyawa dengan atom karbon tersier... Atom karbon (c) tersier berjumlah 1 (yang bertanda 3°).

Dalam molekul isobutana atom karbon pada posisi kedua mengikat tiga atom karbon tetangganya. 05/10/2020 · 20 contoh atom karbon primer sekunder tersier dan kuartener. Atom karbon kuarterner (dilambangkan … Atom karbon dalam rantai karbon terbagi menjadi 4 macam, yaitu atom karbon primer, …. 06/10/2020 · 25 contoh soal kedudukan atom karbon.

31/03/2013 · atom karbon kuarterner, adalah atom karbon yang terikat langsung pada 4 atom karbon yang lain... Atom karbon (c) sekunder berjumlah 3 (yang bertanda 2°). Atom karbon tersebut mengikat tiga atom karbon tetangga. Dalam molekul isobutana atom karbon pada posisi kedua mengikat tiga atom karbon tetangganya. 31/03/2013 · atom karbon kuarterner, adalah atom karbon yang terikat langsung pada 4 atom karbon yang lain. Atom karbon tersebut mengikat dua atom karbon tetangga. Atom karbon dalam rantai karbon terbagi menjadi 4 macam, yaitu atom karbon primer, … 14/12/2015 · atom karbon tersier (3°) adalah atom karbon yang berikatan dengan tiga atom karbon lain. Contoh soal ujian atom …. Dalam molekul isobutana atom karbon pada posisi kedua mengikat tiga atom karbon tetangganya.

05/10/2020 · 20 contoh atom karbon primer sekunder tersier dan kuartener. Atom karbon dalam rantai karbon terbagi menjadi 4 macam, yaitu atom karbon primer, … 05/10/2020 · 20 contoh atom karbon primer sekunder tersier dan kuartener. Berdasarkan strukturnya, senyawa ini mengandung atom karbon tersier yaitu pada atom c nomor …. Atom karbon tersebut mengikat dua atom karbon tetangga. Karena mempunyai nomor atom 6 sehingga atom c memiliki 4 elektron valensi yang … 31/03/2013 · atom karbon kuarterner, adalah atom karbon yang terikat langsung pada 4 atom karbon yang lain.. 21/12/2019 · postingan ini membahas contoh soal atom c primer, atom c sekunder, atom c tersier dan atom c kuarterner beserta pembahasannya.

Atom karbon kuarterner (dilambangkan …. Atom karbon (c) primer berjumlah 5 (yang bertanda 1°). Atom karbon tersebut mengikat tiga atom karbon tetangga. Atom karbon (c) tersier berjumlah 1 (yang bertanda 3°). Oleh sebab itu, dalam molekul senyawa isobutana terdapat satu atom karbon tersier. Dalam molekul isobutana atom karbon pada posisi kedua mengikat tiga atom karbon tetangganya.. 31/03/2013 · atom karbon kuarterner, adalah atom karbon yang terikat langsung pada 4 atom karbon yang lain.

Dalam molekul isobutana atom karbon pada posisi kedua mengikat tiga atom karbon tetangganya. 31/03/2013 · atom karbon kuarterner, adalah atom karbon yang terikat langsung pada 4 atom karbon yang lain. 05/10/2020 · 20 contoh atom karbon primer sekunder tersier dan kuartener. Oleh sebab itu, dalam molekul senyawa isobutana terdapat satu atom karbon tersier. Karena mempunyai nomor atom 6 sehingga atom c memiliki 4 elektron valensi yang … Dalam molekul isobutana atom karbon pada posisi kedua mengikat tiga atom karbon tetangganya. 06/10/2020 · 25 contoh soal kedudukan atom karbon. Atom karbon kuarterner (dilambangkan …

21/12/2019 · postingan ini membahas contoh soal atom c primer, atom c sekunder, atom c tersier dan atom c kuarterner beserta pembahasannya. Dalam molekul isobutana atom karbon pada posisi kedua mengikat tiga atom karbon tetangganya. Atom karbon tersebut mengikat satu atom karbon tetangga. 31/03/2013 · atom karbon kuarterner, adalah atom karbon yang terikat langsung pada 4 atom karbon yang lain.

05/10/2020 · 20 contoh atom karbon primer sekunder tersier dan kuartener. Contoh senyawa dengan atom karbon tersier. Atom karbon (c) kuarterner berjumlah 1 … Atom karbon dalam rantai karbon terbagi menjadi 4 macam, yaitu atom karbon primer, … Atom karbon tersebut mengikat satu atom karbon tetangga. Atom c atau atom karbon adalah atom yang mempunyai nomor atom 6 sehingga dalam sistem periodik terletak pada golongan iva dan periode 2. 05/10/2020 · 20 contoh atom karbon primer sekunder tersier dan kuartener. Atom karbon (c) sekunder berjumlah 3 (yang bertanda 2°). Oleh sebab itu, dalam molekul senyawa isobutana terdapat satu atom karbon tersier. 21/12/2019 · postingan ini membahas contoh soal atom c primer, atom c sekunder, atom c tersier dan atom c kuarterner beserta pembahasannya. Atom karbon tersebut mengikat satu atom karbon tetangga.

Atom karbon kuarterner (dilambangkan … 05/10/2020 · 20 contoh atom karbon primer sekunder tersier dan kuartener. Atom c atau atom karbon adalah atom yang mempunyai nomor atom 6 sehingga dalam sistem periodik terletak pada golongan iva dan periode 2. Atom karbon tersebut mengikat tiga atom karbon tetangga. Oleh sebab itu, dalam molekul senyawa isobutana terdapat satu atom karbon tersier. Atom karbon tersebut mengikat dua atom karbon tetangga. Atom karbon (c) kuarterner berjumlah 1 …. Contoh soal ujian atom …

06/10/2020 · 25 contoh soal kedudukan atom karbon. Atom karbon (c) primer berjumlah 5 (yang bertanda 1°). 5 (yang bertanda 1°) … Contoh soal ujian atom … Atom karbon tersebut mengikat satu atom karbon tetangga. Atom karbon (c) kuarterner berjumlah 1 … 06/10/2020 · 25 contoh soal kedudukan atom karbon. Atom karbon tersebut mengikat dua atom karbon tetangga.. Atom karbon tersebut mengikat tiga atom karbon tetangga.

Atom karbon (c) sekunder berjumlah 3 (yang bertanda 2°). Contoh senyawa dengan atom karbon tersier. Dalam molekul isobutana atom karbon pada posisi kedua mengikat tiga atom karbon tetangganya. Atom c atau atom karbon adalah atom yang mempunyai nomor atom 6 sehingga dalam sistem periodik terletak pada golongan iva dan periode 2. 06/10/2020 · 25 contoh soal kedudukan atom karbon. Atom karbon kuartener (4°) adalah atom karbon yang berikatan … Oleh sebab itu, dalam molekul senyawa isobutana terdapat satu atom karbon tersier. Atom karbon (c) kuarterner berjumlah 1 …. Berdasarkan strukturnya, senyawa ini mengandung atom karbon tersier yaitu pada atom c nomor ….

Meskipun demikian jumlah senyawa yang dihasilkan dari kedua unsur ini sangat banyak.. 14/12/2015 · atom karbon tersier (3°) adalah atom karbon yang berikatan dengan tiga atom karbon lain. Atom karbon (c) tersier berjumlah 1 (yang bertanda 3°). Atom karbon (c) primer berjumlah 5 (yang bertanda 1°). Atom karbon tersebut mengikat tiga atom karbon tetangga. 05/10/2020 · 20 contoh atom karbon primer sekunder tersier dan kuartener. 21/12/2019 · postingan ini membahas contoh soal atom c primer, atom c sekunder, atom c tersier dan atom c kuarterner beserta pembahasannya. 06/10/2020 · 25 contoh soal kedudukan atom karbon. Atom karbon tersebut mengikat satu atom karbon tetangga. Atom karbon (c) kuarterner berjumlah 1 … Atom karbon tersebut mengikat satu atom karbon tetangga.

Atom karbon (c) tersier berjumlah 1 (yang bertanda 3°)... Atom karbon tersebut mengikat dua atom karbon tetangga. Atom karbon (c) primer berjumlah 5 (yang bertanda 1°). Atom karbon tersebut mengikat tiga atom karbon tetangga. Karena mempunyai nomor atom 6 sehingga atom c memiliki 4 elektron valensi yang … Atom karbon (c) kuarterner berjumlah 1 … Meskipun demikian jumlah senyawa yang dihasilkan dari kedua unsur ini sangat banyak. Atom c atau atom karbon adalah atom yang mempunyai nomor atom 6 sehingga dalam sistem periodik terletak pada golongan iva dan periode 2.

Atom c atau atom karbon adalah atom yang mempunyai nomor atom 6 sehingga dalam sistem periodik terletak pada golongan iva dan periode 2. Contoh soal ujian atom … Atom karbon tersebut mengikat tiga atom karbon tetangga.. Atom karbon dalam rantai karbon terbagi menjadi 4 macam, yaitu atom karbon primer, …

Oleh sebab itu, dalam molekul senyawa isobutana terdapat satu atom karbon tersier. Atom karbon tersebut mengikat tiga atom karbon tetangga. Oleh sebab itu, dalam molekul senyawa isobutana terdapat satu atom karbon tersier. 31/03/2013 · atom karbon kuarterner, adalah atom karbon yang terikat langsung pada 4 atom karbon yang lain. 14/12/2015 · atom karbon tersier (3°) adalah atom karbon yang berikatan dengan tiga atom karbon lain.

05/10/2020 · 20 contoh atom karbon primer sekunder tersier dan kuartener. 5 (yang bertanda 1°) … Atom karbon (c) sekunder berjumlah 3 (yang bertanda 2°). Meskipun demikian jumlah senyawa yang dihasilkan dari kedua unsur ini sangat banyak. Atom c atau atom karbon adalah atom yang mempunyai nomor atom 6 sehingga dalam sistem periodik terletak pada golongan iva dan periode 2. Atom karbon dalam rantai karbon terbagi menjadi 4 macam, yaitu atom karbon primer, … 14/12/2015 · atom karbon tersier (3°) adalah atom karbon yang berikatan dengan tiga atom karbon lain. Contoh senyawa dengan atom karbon tersier.. Oleh sebab itu, dalam molekul senyawa isobutana terdapat satu atom karbon tersier.

Atom karbon tersebut mengikat dua atom karbon tetangga... Meskipun demikian jumlah senyawa yang dihasilkan dari kedua unsur ini sangat banyak. 14/12/2015 · atom karbon tersier (3°) adalah atom karbon yang berikatan dengan tiga atom karbon lain. Atom karbon (c) sekunder berjumlah 3 (yang bertanda 2°). Atom karbon dalam rantai karbon terbagi menjadi 4 macam, yaitu atom karbon primer, …. Meskipun demikian jumlah senyawa yang dihasilkan dari kedua unsur ini sangat banyak.

5 (yang bertanda 1°) … 06/10/2020 · 25 contoh soal kedudukan atom karbon. Dalam molekul isobutana atom karbon pada posisi kedua mengikat tiga atom karbon tetangganya. Atom karbon kuarterner (dilambangkan … 5 (yang bertanda 1°) … Atom karbon (c) primer berjumlah 5 (yang bertanda 1°)... Dalam molekul isobutana atom karbon pada posisi kedua mengikat tiga atom karbon tetangganya.

Atom karbon tersebut mengikat satu atom karbon tetangga.. 31/03/2013 · atom karbon kuarterner, adalah atom karbon yang terikat langsung pada 4 atom karbon yang lain. Karena mempunyai nomor atom 6 sehingga atom c memiliki 4 elektron valensi yang … Contoh soal ujian atom … Contoh senyawa dengan atom karbon tersier. Atom karbon dalam rantai karbon terbagi menjadi 4 macam, yaitu atom karbon primer, … Atom karbon kuartener (4°) adalah atom karbon yang berikatan … Atom karbon (c) primer berjumlah 5 (yang bertanda 1°)... 05/10/2020 · 20 contoh atom karbon primer sekunder tersier dan kuartener.

Contoh senyawa dengan atom karbon tersier. 14/12/2015 · atom karbon tersier (3°) adalah atom karbon yang berikatan dengan tiga atom karbon lain. Atom karbon tersebut mengikat satu atom karbon tetangga. Contoh senyawa dengan atom karbon tersier. 31/03/2013 · atom karbon kuarterner, adalah atom karbon yang terikat langsung pada 4 atom karbon yang lain. Contoh soal ujian atom … Atom karbon kuarterner (dilambangkan … Dalam molekul isobutana atom karbon pada posisi kedua mengikat tiga atom karbon tetangganya. Oleh sebab itu, dalam molekul senyawa isobutana terdapat satu atom karbon tersier. Berdasarkan strukturnya, senyawa ini mengandung atom karbon tersier yaitu pada atom c nomor ….. Atom karbon tersebut mengikat dua atom karbon tetangga.

Atom karbon tersebut mengikat dua atom karbon tetangga. Oleh sebab itu, dalam molekul senyawa isobutana terdapat satu atom karbon tersier. Meskipun demikian jumlah senyawa yang dihasilkan dari kedua unsur ini sangat banyak. Atom karbon (c) sekunder berjumlah 3 (yang bertanda 2°). Atom karbon (c) tersier berjumlah 1 (yang bertanda 3°).
Atom c atau atom karbon adalah atom yang mempunyai nomor atom 6 sehingga dalam sistem periodik terletak pada golongan iva dan periode 2. Contoh soal ujian atom … 21/12/2019 · postingan ini membahas contoh soal atom c primer, atom c sekunder, atom c tersier dan atom c kuarterner beserta pembahasannya. Dalam molekul isobutana atom karbon pada posisi kedua mengikat tiga atom karbon tetangganya. Atom karbon tersebut mengikat dua atom karbon tetangga.

31/03/2013 · atom karbon kuarterner, adalah atom karbon yang terikat langsung pada 4 atom karbon yang lain. Atom karbon (c) kuarterner berjumlah 1 … Atom c atau atom karbon adalah atom yang mempunyai nomor atom 6 sehingga dalam sistem periodik terletak pada golongan iva dan periode 2. 05/10/2020 · 20 contoh atom karbon primer sekunder tersier dan kuartener. Dalam molekul isobutana atom karbon pada posisi kedua mengikat tiga atom karbon tetangganya. Atom karbon kuartener (4°) adalah atom karbon yang berikatan … Berdasarkan strukturnya, senyawa ini mengandung atom karbon tersier yaitu pada atom c nomor ….
Contoh soal ujian atom … Atom karbon dalam rantai karbon terbagi menjadi 4 macam, yaitu atom karbon primer, … Contoh soal ujian atom …. Atom karbon tersebut mengikat satu atom karbon tetangga.

Atom karbon (c) primer berjumlah 5 (yang bertanda 1°).. Karena mempunyai nomor atom 6 sehingga atom c memiliki 4 elektron valensi yang … Dalam molekul isobutana atom karbon pada posisi kedua mengikat tiga atom karbon tetangganya. Oleh sebab itu, dalam molekul senyawa isobutana terdapat satu atom karbon tersier. Atom karbon tersebut mengikat dua atom karbon tetangga. Atom karbon kuarterner (dilambangkan … Berdasarkan strukturnya, senyawa ini mengandung atom karbon tersier yaitu pada atom c nomor …. Meskipun demikian jumlah senyawa yang dihasilkan dari kedua unsur ini sangat banyak. Atom karbon dalam rantai karbon terbagi menjadi 4 macam, yaitu atom karbon primer, … Atom karbon tersebut mengikat satu atom karbon tetangga.
Berdasarkan strukturnya, senyawa ini mengandung atom karbon tersier yaitu pada atom c nomor ….. Atom karbon dalam rantai karbon terbagi menjadi 4 macam, yaitu atom karbon primer, … 31/03/2013 · atom karbon kuarterner, adalah atom karbon yang terikat langsung pada 4 atom karbon yang lain. Oleh sebab itu, dalam molekul senyawa isobutana terdapat satu atom karbon tersier. Atom karbon (c) primer berjumlah 5 (yang bertanda 1°). Atom karbon (c) kuarterner berjumlah 1 … 14/12/2015 · atom karbon tersier (3°) adalah atom karbon yang berikatan dengan tiga atom karbon lain. Atom karbon (c) sekunder berjumlah 3 (yang bertanda 2°). Atom c atau atom karbon adalah atom yang mempunyai nomor atom 6 sehingga dalam sistem periodik terletak pada golongan iva dan periode 2.. Atom karbon tersebut mengikat satu atom karbon tetangga.

21/12/2019 · postingan ini membahas contoh soal atom c primer, atom c sekunder, atom c tersier dan atom c kuarterner beserta pembahasannya. Atom karbon tersebut mengikat tiga atom karbon tetangga. 21/12/2019 · postingan ini membahas contoh soal atom c primer, atom c sekunder, atom c tersier dan atom c kuarterner beserta pembahasannya. Atom karbon (c) primer berjumlah 5 (yang bertanda 1°). 5 (yang bertanda 1°) … 31/03/2013 · atom karbon kuarterner, adalah atom karbon yang terikat langsung pada 4 atom karbon yang lain. Atom karbon kuartener (4°) adalah atom karbon yang berikatan … Atom karbon (c) tersier berjumlah 1 (yang bertanda 3°). Atom karbon dalam rantai karbon terbagi menjadi 4 macam, yaitu atom karbon primer, … 06/10/2020 · 25 contoh soal kedudukan atom karbon. Contoh senyawa dengan atom karbon tersier.

05/10/2020 · 20 contoh atom karbon primer sekunder tersier dan kuartener.. 05/10/2020 · 20 contoh atom karbon primer sekunder tersier dan kuartener.. Meskipun demikian jumlah senyawa yang dihasilkan dari kedua unsur ini sangat banyak.
06/10/2020 · 25 contoh soal kedudukan atom karbon.. Oleh sebab itu, dalam molekul senyawa isobutana terdapat satu atom karbon tersier. 21/12/2019 · postingan ini membahas contoh soal atom c primer, atom c sekunder, atom c tersier dan atom c kuarterner beserta pembahasannya. Atom karbon (c) kuarterner berjumlah 1 … Atom karbon kuarterner (dilambangkan … Contoh soal ujian atom … Meskipun demikian jumlah senyawa yang dihasilkan dari kedua unsur ini sangat banyak. Atom c atau atom karbon adalah atom yang mempunyai nomor atom 6 sehingga dalam sistem periodik terletak pada golongan iva dan periode 2. Atom karbon dalam rantai karbon terbagi menjadi 4 macam, yaitu atom karbon primer, … Karena mempunyai nomor atom 6 sehingga atom c memiliki 4 elektron valensi yang … Dalam molekul isobutana atom karbon pada posisi kedua mengikat tiga atom karbon tetangganya.. 14/12/2015 · atom karbon tersier (3°) adalah atom karbon yang berikatan dengan tiga atom karbon lain.

06/10/2020 · 25 contoh soal kedudukan atom karbon... 31/03/2013 · atom karbon kuarterner, adalah atom karbon yang terikat langsung pada 4 atom karbon yang lain. Atom karbon (c) primer berjumlah 5 (yang bertanda 1°). Dalam molekul isobutana atom karbon pada posisi kedua mengikat tiga atom karbon tetangganya. Meskipun demikian jumlah senyawa yang dihasilkan dari kedua unsur ini sangat banyak. Oleh sebab itu, dalam molekul senyawa isobutana terdapat satu atom karbon tersier. 21/12/2019 · postingan ini membahas contoh soal atom c primer, atom c sekunder, atom c tersier dan atom c kuarterner beserta pembahasannya. Contoh soal ujian atom … Atom karbon tersebut mengikat dua atom karbon tetangga. Contoh senyawa dengan atom karbon tersier. Atom karbon (c) tersier berjumlah 1 (yang bertanda 3°).. Atom karbon dalam rantai karbon terbagi menjadi 4 macam, yaitu atom karbon primer, …

Contoh senyawa dengan atom karbon tersier... Atom karbon tersebut mengikat satu atom karbon tetangga. Atom karbon kuarterner (dilambangkan … Berdasarkan strukturnya, senyawa ini mengandung atom karbon tersier yaitu pada atom c nomor …. Atom karbon (c) kuarterner berjumlah 1 … Karena mempunyai nomor atom 6 sehingga atom c memiliki 4 elektron valensi yang … 21/12/2019 · postingan ini membahas contoh soal atom c primer, atom c sekunder, atom c tersier dan atom c kuarterner beserta pembahasannya. Atom c atau atom karbon adalah atom yang mempunyai nomor atom 6 sehingga dalam sistem periodik terletak pada golongan iva dan periode 2. Meskipun demikian jumlah senyawa yang dihasilkan dari kedua unsur ini sangat banyak.

Dalam molekul isobutana atom karbon pada posisi kedua mengikat tiga atom karbon tetangganya. 06/10/2020 · 25 contoh soal kedudukan atom karbon. Atom karbon tersebut mengikat tiga atom karbon tetangga. Contoh senyawa dengan atom karbon tersier. Atom karbon kuartener (4°) adalah atom karbon yang berikatan … Atom karbon tersebut mengikat satu atom karbon tetangga. Dalam molekul isobutana atom karbon pada posisi kedua mengikat tiga atom karbon tetangganya.. 06/10/2020 · 25 contoh soal kedudukan atom karbon.

Atom karbon kuarterner (dilambangkan ….. Meskipun demikian jumlah senyawa yang dihasilkan dari kedua unsur ini sangat banyak. Oleh sebab itu, dalam molekul senyawa isobutana terdapat satu atom karbon tersier.. Oleh sebab itu, dalam molekul senyawa isobutana terdapat satu atom karbon tersier.

Atom karbon kuartener (4°) adalah atom karbon yang berikatan …. Meskipun demikian jumlah senyawa yang dihasilkan dari kedua unsur ini sangat banyak. 06/10/2020 · 25 contoh soal kedudukan atom karbon. Contoh senyawa dengan atom karbon tersier. Atom karbon (c) tersier berjumlah 1 (yang bertanda 3°). Contoh soal ujian atom … 14/12/2015 · atom karbon tersier (3°) adalah atom karbon yang berikatan dengan tiga atom karbon lain. Atom karbon dalam rantai karbon terbagi menjadi 4 macam, yaitu atom karbon primer, … Berdasarkan strukturnya, senyawa ini mengandung atom karbon tersier yaitu pada atom c nomor …. 05/10/2020 · 20 contoh atom karbon primer sekunder tersier dan kuartener.

Atom karbon tersebut mengikat dua atom karbon tetangga. Atom karbon (c) sekunder berjumlah 3 (yang bertanda 2°). Atom karbon tersebut mengikat satu atom karbon tetangga. Atom karbon (c) primer berjumlah 5 (yang bertanda 1°).

Contoh senyawa dengan atom karbon tersier. Atom karbon (c) tersier berjumlah 1 (yang bertanda 3°).. 21/12/2019 · postingan ini membahas contoh soal atom c primer, atom c sekunder, atom c tersier dan atom c kuarterner beserta pembahasannya.

Atom karbon (c) sekunder berjumlah 3 (yang bertanda 2°). Atom c atau atom karbon adalah atom yang mempunyai nomor atom 6 sehingga dalam sistem periodik terletak pada golongan iva dan periode 2.

5 (yang bertanda 1°) …. Dalam molekul isobutana atom karbon pada posisi kedua mengikat tiga atom karbon tetangganya. Atom karbon kuartener (4°) adalah atom karbon yang berikatan … Atom c atau atom karbon adalah atom yang mempunyai nomor atom 6 sehingga dalam sistem periodik terletak pada golongan iva dan periode 2. Atom karbon (c) sekunder berjumlah 3 (yang bertanda 2°). Atom karbon (c) kuarterner berjumlah 1 … Atom karbon dalam rantai karbon terbagi menjadi 4 macam, yaitu atom karbon primer, …. 21/12/2019 · postingan ini membahas contoh soal atom c primer, atom c sekunder, atom c tersier dan atom c kuarterner beserta pembahasannya.

Atom karbon tersebut mengikat dua atom karbon tetangga. Atom c atau atom karbon adalah atom yang mempunyai nomor atom 6 sehingga dalam sistem periodik terletak pada golongan iva dan periode 2. Atom karbon (c) primer berjumlah 5 (yang bertanda 1°).. Meskipun demikian jumlah senyawa yang dihasilkan dari kedua unsur ini sangat banyak.

Atom karbon (c) tersier berjumlah 1 (yang bertanda 3°)... Karena mempunyai nomor atom 6 sehingga atom c memiliki 4 elektron valensi yang … Atom karbon (c) sekunder berjumlah 3 (yang bertanda 2°). 21/12/2019 · postingan ini membahas contoh soal atom c primer, atom c sekunder, atom c tersier dan atom c kuarterner beserta pembahasannya. Oleh sebab itu, dalam molekul senyawa isobutana terdapat satu atom karbon tersier. 06/10/2020 · 25 contoh soal kedudukan atom karbon. 05/10/2020 · 20 contoh atom karbon primer sekunder tersier dan kuartener. Atom karbon kuarterner (dilambangkan … Atom karbon tersebut mengikat satu atom karbon tetangga. Berdasarkan strukturnya, senyawa ini mengandung atom karbon tersier yaitu pada atom c nomor …. Atom karbon (c) tersier berjumlah 1 (yang bertanda 3°). Contoh senyawa dengan atom karbon tersier.
